The entomology program recognizes the logistic difficulty in scouting. We know that you have to cover a large acreage in a limited amount of time, you manage multiple crops, and some weeks, frankly, you would rather spend the time with your family. We get it.
So, let’s chat about how to scout cotton for plant bugs, and the amount of money that it will make you, in the fewest possible bullet points:
- Decisions can be quick and easy – if scouting multiple locations in a field (either by quadrant or on the diagonal) results in numbers over threshold (8 per 100 sweep or 2-4 per beat sheet sample), spray the field. Likewise, if you are seeing consistently below threshold numbers, don’t spray. The only scenario where more time is warranted is when you capture near-threshold numbers in multiple spots. In this scenario, you must decide: 1) how much yield you want out of this field, 2) whether you have time to revisit this field in 3 to 5 days to scout again, and 3) how spraying right now fits into your schedule. Remember two things: 1) it always pays to spray on threshold, and 2) spraying in this hot, dry year increases your risk of secondary pests with any insecticide application. I favor treating the problem that I have and dealing with the problem that may occur, but this is entirely up to you and your operation. An additional 15 minutes of scouting may be more profitable than spraying an entire field. It’s ultimately your choice.
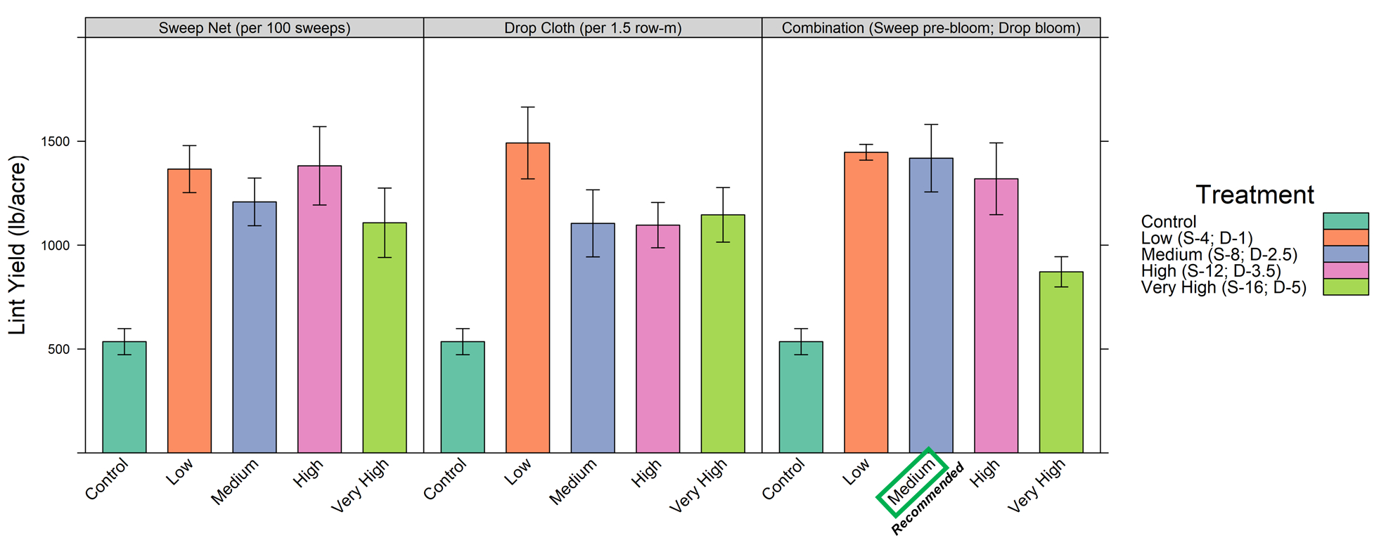
- Any sampling method works. Our data (below) from 2018 show that when you scout with a sweep net, a beat sheet, or both combined, you are profiting over not scouting at all. This is why we are distributing beat sheets free of charge at the Tidewater AREC. The companies that have paid for your beat sheets (Corteva, BASF, and FMC) agree. No one wants you to spend money unnecessarily – especially in this difficult time.
Figure 1. Comparison, in terms of lint yield, of different sampling methods for tarnished plant bug (sweep net, drop cloth, and sweep net until 2nd week of bloom combined with drop cloth after) and different thresholds (low, medium or recommended, high, and very high). Favoring the low threshold (1 per drop cloth sample) was profitable when using a drop cloth alone, but this did not make money over using a medium threshold in the combined method. Regardless, you make money if you sample and spray by any method. Not every Virginia field will experience this high pressure.
Table 1. Net economic returns (per hectare) for threshold trial in 2018 above the untreated control. Cotton was priced at $0.77 per acre for 2018; nitrogen (32-0-0) was priced at $49.18/acre (120.0 lb/acre); bifenthrin (6.4 oz) was priced at $2.90/acre; acephate (8 oz) was priced at $3.12/acre; sulfoxaflor (2.25 oz) was priced at $13.80/acre; thiamethoxam (2 oz) was priced at $15.61/acre; chlorantraniliprole (27 oz) was priced at $26.35/acre
As always, best wishes for a profitable 2019. Please reach out to Sally or myself if you have questions or concerns. I hope that you have the opportunity to spend this weekend with the people and activities that you value most. Happy 4th y’all!


